Prywatne
Forma nauki: Regularne spotkania cykliczne, Zajęcia indywidualne, Zajęcia jednorazowe
Poziom nauczania: Szkoła średnia
Forma zajęć: Online
Stawka za godzinę: 100 zł
Opis
Korepetycje z matematyki dla uczniów liceum/technikum na poziomie podstawowym, przygotowanie do matury
online lub hybrydowo (Ząbki k. Warszawy)
Za ile?
100 zł/h, płatność przelewem po zajęciach
Kiedy
Pn-pt po godzinie 18:00
Weekendy do ustalenia
O mnie
Mam na imię Magda i od 7 lat z sukcesami prowadzę korepetycje z matematyki.
Jestem magistrem inżynierem po Politechnice Warszawskiej
Jak wyglądają zajęcia?
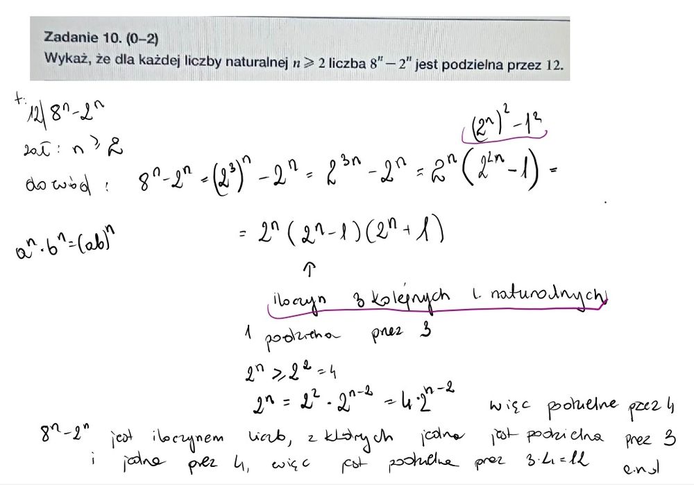
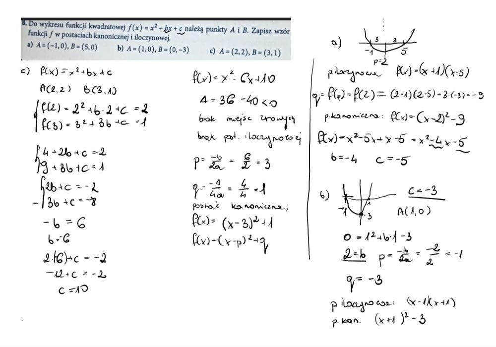
Korepetycje online prowadzę z wykorzystaniem tabletu graficznego (przykładowe slajdy w zdjęciach). Na bieżąco rozwiązuję i tlumaczę zadania, a notatki z zajęć wysyłam od razu po korepetycjach.
Zajęcia odbywają się w przyjaznej atmosferze, zależy mi przede wszystkim na zrozumiałym przedstawieniu tematu, więc pytania i wątpliwości zawsze będą mile widziane :)
Pracujemy głównie Twoich podręcznikach i zbiorach zadań, w ramach przygotowań do matury korzystamy z arkuszy maturalnych od CKE. W razie chęci i potrzeby korzystamy również z innych, wybranych materiałów
Jestem też otwarta na bieżącą pomoc - jeśli masz problem z pojedynczymi zadaniami można do mnie śmiało pisać poza godzinami korepetycji - w miarę możliwości czasowych odpisuję, pomagam, tłumaczę. Bardziej złożone problemy omawiamy na korepetycjach
Zapraszam do kontaktu OLX lub telefonicznie (7.9.2.3.0.0.5.7.7), jeśli nie odbiorę proszę o SMS, oddzwonię
online lub hybrydowo (Ząbki k. Warszawy)
Za ile?
100 zł/h, płatność przelewem po zajęciach
Kiedy
Pn-pt po godzinie 18:00
Weekendy do ustalenia
O mnie
Mam na imię Magda i od 7 lat z sukcesami prowadzę korepetycje z matematyki.
Jestem magistrem inżynierem po Politechnice Warszawskiej
Jak wyglądają zajęcia?
Korepetycje online prowadzę z wykorzystaniem tabletu graficznego (przykładowe slajdy w zdjęciach). Na bieżąco rozwiązuję i tlumaczę zadania, a notatki z zajęć wysyłam od razu po korepetycjach.
Zajęcia odbywają się w przyjaznej atmosferze, zależy mi przede wszystkim na zrozumiałym przedstawieniu tematu, więc pytania i wątpliwości zawsze będą mile widziane :)
Pracujemy głównie Twoich podręcznikach i zbiorach zadań, w ramach przygotowań do matury korzystamy z arkuszy maturalnych od CKE. W razie chęci i potrzeby korzystamy również z innych, wybranych materiałów
Jestem też otwarta na bieżącą pomoc - jeśli masz problem z pojedynczymi zadaniami można do mnie śmiało pisać poza godzinami korepetycji - w miarę możliwości czasowych odpisuję, pomagam, tłumaczę. Bardziej złożone problemy omawiamy na korepetycjach
Zapraszam do kontaktu OLX lub telefonicznie (7.9.2.3.0.0.5.7.7), jeśli nie odbiorę proszę o SMS, oddzwonię
ID: 953716943
xxx xxx xxx
Dodane 23 października 2025
Korepetycje matematyka liceum/technikum/matura Ząbki hybrydowo/online
100 zł
Lokalizacja
